忍者ブログ
一般向け/高校生向け楽しい化け学
[34]  [35]  [36]  [37]  [38]  [39]  [40]  [41]  [42]  [43]  [44


×

[PR]上記の広告は3ヶ月以上新規記事投稿のないブログに表示されています。新しい記事を書く事で広告が消えます。



大学生は今テストシーズン真っ盛りです。

私学では早いところはもう春休みになっていますが、うちはテスト期間が終わるまであと十数日。

大学では基本的に期末試験しかありません。

すなわち年間で前期で一回、後期に一回。

原則一期でひとつの科目は完結するので、要するに単位が取れるかどうかは一回の試験での一発勝負だということです。

が、最近、特に理系では中間テストというものが現れていて、後期では11月~12月に行われるその試験がいくらかの配点を持っています。

しかしほぼ一発、二発勝負なところは変わっていないわけで、テストでコケれば"お終い"。


明日は有機化学の演習科目のテスト。

要するに「○○を合成法を示せ」とか「この条件での生成物を答えよ」とか「反応機構を書け」という問題を延々と解くわけです。

ここでポイントなのが、「反応機構」。

高校ではありません。

我々専門の有機化学をやる人間は、この「反応機構」を頼りに合成法や反応の結果を考えます。

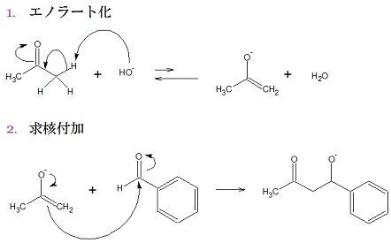
反応機構を書くとはすなわち電子(対)の動きを表す「巻き矢印」を書くこと。

例;


筆者作成中のスライドの一部



これは今筆者が作成中のスライドの一部で、アセトンが「酸性」であり水素イオンを放出し陰イオンとなって、ベンズアルデヒドに求核付加して新しい炭素-炭素結合を形成する~~~っという部分。

大学の有機化学で非常にポピュラーな「アルドール縮合」という反応の一部です。


っとこの辺でちょっと筆者はテスト勉強に戻ります。

昨日アップした 「付加反応 -立体特異性- [応用]」 の問題&解答をもっと見直したいけど、さすがにテス勉がピンチ。

昨日見た限りでは、今回は間違えてない・・・はず・・・
PR


「付加反応 -立体特異性- [応用]」 問題掲載!!

久々です。

ネタは色々あるんですが、高校生向けにすることとか、時間とか何かと大変。

あと訪問者の皆さんには、わざわざネット上にある問題を解いてもらうのだから普通の問題集にはないような問題、
解いて何かを得られる問題でなければならないと思います。

そーいうのを考えるとなかなかですねぇ。

あと問題集にあるのを何の断りもなくそっくりそのまま取ってきて並べたらもちろんそれは著作権違反なわけで、そういうのを考えるとなかなか掲載に困ります。


今回は自分で言うのもなんですが、なかなかいい題材と思います。

付加反応、誰でも知ってる反応。

が、そのメカニズムはなかなか難解。

特に立体構造は・・・どうなるでしょうか。


今日は問題作りにいそしんでいたため他にやるべきこと全くやってません、ピンチ!

っというか、いわゆる現実逃避ってヤツですね。

忙しくなって来たら化学に逃げる!!

が、余計時間なくなって爆発!!!!


ヤベ、奨学金の更新手続きもしないといけないんだった。

ネット手続きなんですが、ちょっと今からやってきます。


現在午前4時51分。

実験の授業にはテストの代わりにプレゼンテーションをするのが定石で、その準備などなどに追われて寝る間もない筆者です。

どうせなら他の人が作らないような面白いプレゼンを作りたいので色々考え中。

とりあえず使う素材を作ってます。

例えば減圧蒸留装置。


筆者作成。(Chemsketchテンプレートを加工)


他にも生成物の色を量子化学的に説明すべく、簡単な分子について分子軌道計算をして例示。


WinMOPACで計算・描画


等など。


反応式はまた後で書こっと。

キリが良いのでちょっと寝ることにします。


今日自転車でバイト先に向かっていると、ダッサイことにコケてしまった。

とっさに膝で受身を取ったので被害は小さかったが、膝は擦りむけ血まみれに・・・

そして、なんと、

この前硫酸で穴開いたから買い換えたジーンズが破れた。

かなりのショックである。

傷はほっといたら治るが、ジーンズは直らない。

バイト先に行き、塾生がケガをしたときのための救急セットを借りました。

新品でした。

生徒用なのに・・・申し訳ない・・・

オキシドールで消毒して、絆創膏を貼りました。

しかし転んでもただでは起きない筆者です(ぉ

今日はこのオキシドールの正体、過酸化水素について紹介しましょう。


今日の分子 No.41 過酸化水素 H2O2


WinMOPACで描画


水よりもわずかに粘度のある無色透明な弱酸性な液体。

過マンガン酸カリウムなどの強酸化剤には酸化されて酸素になるので酸化剤としてショボイと思われがちだが、本当は非常に強力な酸化剤であり多くの場合は酸化剤として働き水になる。

ゆえに第六類危険物酸化性液体で危険等級Ⅰ(←超危険)に指定されていて、可燃物と接触すると爆発する恐れがある。

皮膚に付くと刺激性があり劇物としても指定されている。


酸化還元反応は次の通りである。

○酸化剤として働くとき

H2O2 + 2H+ + 2e- → 2H2O

○還元剤として働くとき

H2O2 → O2 + 2H+ + 2e-


酸素の実験室的製法に過酸化水素の分解がある。

これには触媒として二酸化マンガンや酵素のカタラーゼが用いられる。

2H2O2 → 2H2O + O2

この式は実は酸化還元反応の、酸化剤として働くときと還元剤として働くときの2つの式を足し合わせたものである。

このように物質が同じ物質を酸化し、同じ物質に還元される反応を自己酸化還元反応という。

この場合など、制御に失敗すれば爆発的なものになってしまうことが多い。

またこのように単一の物質が二種類以上の物質になることを不均化反応ということもある。(逆は"均化反応")

過酸化水素は活性酸素の一物質であり、容易にヒドロキシラジカル(OH)になるので生物に悪い。

そのため体内では過酸化水素を分解するためカタラーゼという酵素が作られ、上の式の反応を起こして体を酸化から守っているわけである。


重量パーセントで3%の過酸化水素水はオキシドールと呼ばれ消毒液として使われる。

多くの人がやんちゃな子供時代に膝をすりむいたとき使ったことがあると思います。

ちなみにオキシドールを傷口につけたとき、泡が出たという経験はないでしょうか。

これはこのときまさに体内のカタラーゼが上の分解反応を起こして生じた酸素の気泡なのです。


◎ 参考


現在午前二時過ぎ。

今日(厳密には昨日だけど)は朝から講義を受けて、午後は授業の実験をして、その後学校が施錠される午後9時まで友達とレポート&勉強でした。

帰ってきて色々やって一段落着いたらもうこんな時間。

昨日も一昨日もバイトして帰ってきたら午前1時前だったし、筆者は週の中ごろはいつも寝不足である。

しかし今日の実験は面白かったです。

高校の化学Ⅱの教科書におそらく載っている、ナイロンを作る実験でした。

ジカルボン酸ジクロリド(筆者の高校の教科書ではセバシン酸ジクロリド)の溶液(油系)とヘキサメチレンジアミンの溶液(水系)を、水と油の層が分離するようにビーカーに入れて、その境界面をピンセットで引っ張るとあら不思議、ナイロンの糸が出来る、という実験。

今日筆者はアジピン酸ジクロリドとヘキサメチレンジアミンを同じように反応させてナイロン66を、次にテレフタル酸ジクロリドとヘキサメチレンジアミンでナイロン6Tを得ました。

ムービーを撮ってしまったほどあまりにも糸を引くのが面白かったです。

そのムービーもこのサイトにもUPしたいと思います。
(サーバー的な問題で動画が直接UPできないのでYouTubeとかに投稿して見るしかないかも。とりあえず今日は時間がないです。。。)

ナイロンを作り終わるまでは良かったのです。

できた2種類のナイロンを比較するため手触りを確かめていたのですが、感触が面白くて無駄に触ったため生成物に残留していた薬品に手のひらをやられました・・・

たぶん主にダメージを与えてきたのは溶液に混ぜていた水酸化ナトリウム。

アルカリは皮膚がボロボロになります・・・

後反応性の高い有毒な酸クロリドもいくらか残っていたでしょうから、それにも手のひらをやられたかもしれません。

触りたぐっていたら手のひらから謎の黄色い汁が出てきて気づくという・・・恐ろしい・・・

まぁちょっと薬品が残ってたくらいだから特に大したことでもないのだけれども、洗浄不足と調子に乗ったことを反省。

※ 薬品は危ないので決してこんなことがないようにしましょう!!!


ついでなので、教科書の実験のところだけに出てくる得体の知れない「カルボン酸クロリド」のひとつ、酢酸クロリドについて紹介します。


今日の分子 No.40 酢酸クロリド CH3COCl


WinMOPACで計算・描画。 ※二重結合省略


別名アセチルクロリド、塩化アセチル、塩化エタノイル。

非常に反応性に富み、腐食性があり人体に有毒で、引火性もあり危険。

酢酸CH3COOHの「-OH」が「-Cl」に置き換わった分子。

一般にカルボン酸の「-OH」が「-Cl」に置き換わった物質をカルボン酸クロリドと言います。

カルボン酸と塩化チオニルSOCl2(←これも高校では出てこない)等を反応させて得る。

反応性が高く色々な反応をすることができ有用だが、危険性も高いので取り扱いには注意が必要。


ポリアミド(=ナイロン)を作るとき高校の教科書にある「ジカルボン酸とジアミンを縮合重合させて得る」のは、実際にはかなり困難である。

ポリエステルの場合も同じで、このサイトの 「ペットボトルは作れない!?[応用]」 の項に出てくるように、化学平衡があるからです。

一方、ジカルボン酸の両末端の「-OH」を「-Cl」に変えたジカルボン酸ジクロリドを用いると、反応性が高いのでとてもスムーズに縮合重合します。

n ClCO-R-COCl + n H2N-R'-NH2 → [-CO-R-CO-NH-R'-NH-]n + HCl

だから教科書の実験の反応ではこのジカルボン酸ジクロリドを用いているのです。

高校の教科書で「実は普通のジカルボン酸ではうまくいかない」ということを書くとややこしくなるので、ぼかしてこっそりジカルボン酸ジクロリドを登場させているのです。


◎ 参考
ブログ内検索
Twitter @Chemis_twit (管理人)
Copyright 放課後化学講義室 All rights reserved



忍者ブログ [PR]